
“Geen indicaties dat invoering van miljonairstaks veel vermogenden doet vertrekken” (Factcheck)
Het magazine Knack voerde een factcheck uit op onze stelling dat er helemaal geen grote kapitaalvlucht zal ontstaan als er een miljonairstaks wordt ingevoerd. En dat... klopt.
“De uitspraak van Peter Mertens (PVDA) dat een miljonairstaks er niet toe leidt dat vermogenden naar het buitenland vluchten, beoordelen we op grond van onderzoek als eerder waar, omdat een aantal studies inderdaad aangeeft dat het percentage vermogenden dat wegtrekt, beperkt blijft.”
De Factcheck van Knack nam onze stelling dat een vermogensbelasting niet tot kapitaalvlucht zal leiden onder de loep, en vindt “geen indicaties dat de invoering van een miljonairstaks veel vermogenden doet vertrekken”.
Hieronder alle elementen nog even voor u op een rijtje.
(1) Wat leert het internationaal wetenschappelijk onderzoek ons over kapitaalvlucht?
“Schaarse bewijs wijst op een verwaarloosbaar effect” (DULBEA, 2023)
Het Federaal Planbureau belastte DULBEA, economisch onderzoekscentrum aan de Solvay Brussels School of Economics and Management en de Université Libre de Bruxelles (ULB), met een studie naar de vermogensbelasting. Opdracht was ook te kijken naar de effecten van zo’n vermogensbelasting op het gedrag van de belastingbetalers, zoals mogelijke belastingontduiking, belastingontwijking en migratie.
In haar studie van juli 2023 moet DULBEA vaststellen dat het empirisch bewijs rond kapitaalvlucht in de internationale literatuur “schaars” is, maar dat het beschikbaar bewijs wel wijst op een “verwaarloosbaar effect”.
Over mogelijke kapitaalvlucht zegt de studie het volgende:
- “Aangezien de vermogensbelasting gebaseerd is op de woonplaats van huishoudens, zouden sommige belastingbetalers geneigd kunnen zijn het land te verlaten. Migratie is des te waarschijnlijker als buurlanden een voordeliger belastingregime hebben, wat de belastinginkomsten en het investeringsniveau in het oorspronkelijke land zou kunnen verzwakken. In deze context kunnen we veronderstellen dat de invoering van een vermogensbelasting in België, een klein land met een zeer open economie, een impact zou hebben op het aantal mensen dat naar het buitenland verhuist, in het bijzonder naar het naburige Luxemburg waar het vermogensbelastingstelsel aantrekkelijk is. Volgens de conclusies van de hieronder genoemde empirische studies is dit effect echter niet significant”1.
- De conclusie wat mogelijke kapitaalvlucht betreft, luidt als volgt: “Als conclusie kunnen we stellen dat hoewel het empirisch bewijs beperkt is, het schaarse bewijs wijst op een verwaarloosbaar effect van de internationale migratie in verhouding tot de gegenereerde inkomsten.”2
(2) Wat leert de ervaring met de Franse vermogensbelasting ISF ons?
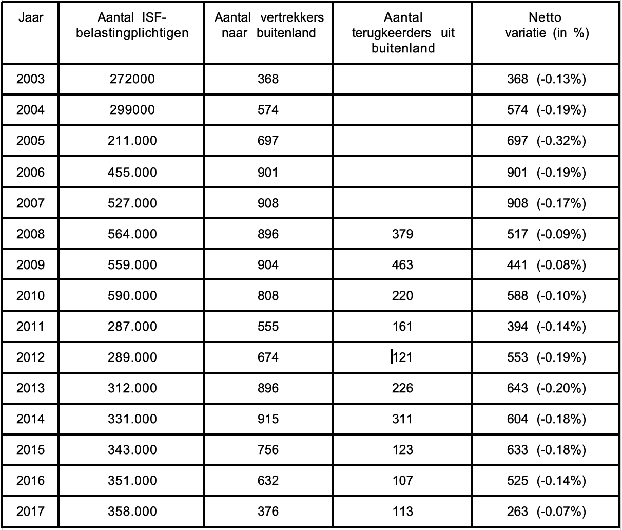
“In 2014 verlieten slechts 780 van de 331.010 belastingbetalers die onder de Franse ISF vielen het land” (DULBEA, 2023)
DULBEA kijkt in diezelfde studie ook specifiek naar de Franse ervaring met de Impôt de solidarité sur la fortune, ingevoerd in 1989 en afgeschaft in 2017. Wat het risico op kapitaalvlucht betreft, citeert DULBEA cijfers van 2014, die wijzen op een beperkt effect van amper 0,23%:
- “In 2014 verlieten bv. slechts 780 belastingbetalers die onder de Franse ISF vielen het land (op een totaal van 331 010 belastingbetalers, of 0,23% van hen). Die belasting verhinderde niet dat er in datzelfde jaar 300 belastingbetalers terugkeerden.”3
Deze studie kijkt naar één specifiek jaar, maar cijfers van de Franse Overheidsdienst Overheidsfinanciën bevestigen dezelfde grootte-orde voor andere jaren.4
Thomas Piketty: “De Franse ISF bracht elk jaar meer op”
Professor Thomas Piketty argumenteert tot slot nog dat “de inkomsten uit de vermogensbelasting (toen deze werd toegepast in Frankrijk, nvdr) van jaar tot jaar zeer snel groeiden, in twintig jaar vervijfvoudigden, dus veel sneller dan het BBP, sneller dan het niveau van de vastgoedprijzen... Dus als er echt sprake was geweest van veralgemeende (kapitaal)vlucht, zoals soms wordt beweerd, zouden we deze enorme toename van de inkomsten niet hebben gehad.”5
Bron: Thomas Piketty, Capital et idéologie (2019)6
(3) Wat leren de Zweedse en Deense ervaringen met vermogensbelastingen ons?
“Trickle-down effecten van door belastingen veroorzaakte migratie door de rijken bestaan, maar zijn kwantitatief klein” (National Bureau of Economic Research, 2024)
Onderzoekers van de National Bureau of Economic Research bestudeerden “internationale migratiepatronen onder de zeer rijken, hun impact op de economie en hoe ze reageren op vermogensbelasting”, en keken specifiek naar Zweden en Denemarken. In Zweden bestond er bijvoorbeeld een progressieve vermogensbelasting tussen 1911 en 2007.
- Zij vinden “significante effecten op de emigratiestromen van verhogingen in de effectieve vermogensbelasting. Maar we documenteren ook dat het algemene niveau van deze migratiestromen opmerkelijk klein is, met jaarlijkse nettomigratiepercentages van minder dan 0,01%”. Hun resultaten “suggereren dus dat er trickle-down effecten bestaan van door belastingen veroorzaakte migratie door de rijken, maar dat ze kwantitatief klein zijn”7.
(4) De 8 miljard opbrengst van het PVDA-voorstel van miljonairstaks houdt rekening met mogelijke kapitaalvlucht
Wij houden in onze berekeningen van de netto-opbrengst rekening met mogelijke reacties van belastingplichtigen als een miljonairstaks ingevoerd wordt. We voorzien een redelijke buffer voor het risico op kapitaalvlucht, maar ook belastingontwijking en belastingontduiking
- We schatten de bruto-opbrengst van onze miljonairstaks in op 10,78 miljard euro;
- houden rekening met een potentieel verlies van 26%;
- en komen zo uit op een netto-opbrengst van 8 miljard euro.
Een buffer van deze grootte-orde ligt in lijn met de schattingen van de Franse professor en wereldberoemde specialist vermogensbelasting Gabriel Zucman8, die momenteel door de G20 gevraagd is een rapport uit te werken rond een globale minimum-vermogensbelasting9. Voor een vermogensbelasting van 2% houdt hij rekening met een verlies van 16%; omgerekend naar de modaliteiten van onze miljonairstaks kunnen wij dat op 20% schatten.
(5) Er zijn genoeg redenen om het land niet te verlaten
Het aantal rijken dat vertrekt, zegt daarom nog niets over de hoeveelheid kapitaal dat zij met zich meenemen, oppert Mark Delanote in Knack. “Maar daarover bestaat nauwelijks onderzoek en kunnen we geen conclusies formuleren, zeggen specialisten”, besluit de Knack Factcheck.
De vaststelling dat de Franse ISF tot aan haar afschaffing steeds meer inkomsten opbracht (zie hierboven), geeft alvast een belangrijke indicatie dat ook de hoeveelheid kapitaalvlucht beperkt blijft.
Tenslotte: de politieke connecties, de banden met de Belgische economie en infrastructuur, de investeringen in vastgoed en landerijen: het zijn volgens ons één voor één belangrijke redenen om het land niet te verlaten, ook niet als de allerrijksten gevraagd worden eerlijk hun belastingen te betalen.
Conclusie
Een miljonairstaks ís mogelijk, kán miljarden opbrengen, en is vooral een kwestie van politieke wil. Wie die keuze wil maken, kan op 9 juni enkel bij de PVDA terecht.
1 Bron: https://www.plan.be/uploaded/documents/202311130924260.Studie_over_de_belasting_op_grote_vermogens.pdf, p.60
2 Bron: idem
3 Bron: idem
4 Bron van cijfers in tabel: gegevens van de ‘Direction générale des Finances publiques’, hernomen in France Stratégie, ‘Comité d’évaluation des réformes de la fiscalité du capital’, oktober 2019: https://www.strategie.gouv.fr/sites/strategie.gouv.fr/files/atoms/files/fs-2019-fiscalite-capital-01-10-2019.pdf, p.333
5 Bron: http://piketty.pse.ens.fr/files/Piketty2020GREP.pdf, p.131
6 Bron: http://piketty.pse.ens.fr/files/ideologie/pdf/supp/GS14.20.pdf
7 Bron: https://www.nber.org/papers/w32153, uit het abstract
8 Bron: https://gabriel-zucman.eu/files/saez-zucman-wealthtaxobjections.pdf, p.5
9 Bron: https://www.reuters.com/world/europe/eu-tax-observatory-eyes-broader-g20-support-minimum-tax-billionaires-2024-05-23/